首页>接龙镇>政务公开>政府信息公开目录>基层政务公开>社会救助领域>审核审批信息>最低生活保障

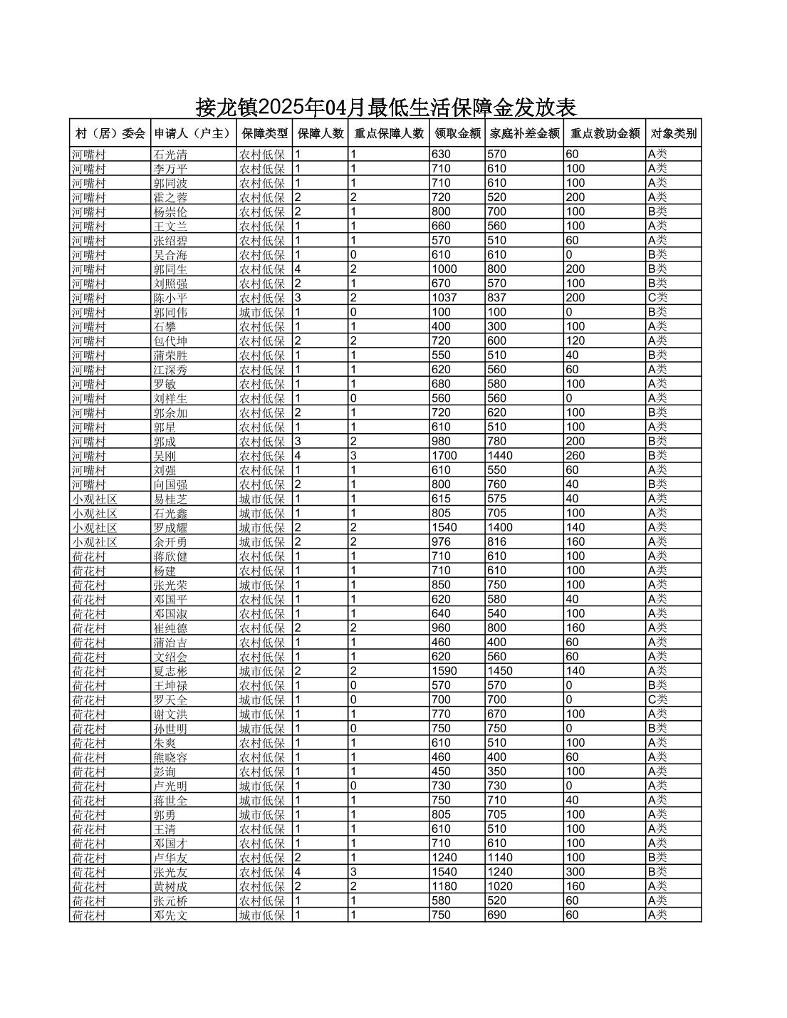
接龙镇2025年4月最低生活保障金发放表

日期:2025-04-14
【字号:

扫一扫在手机打开当前页
分享: