首页>接龙镇>政务公开>政府信息公开目录>基层政务公开>社会救助领域>审核审批信息>最低生活保障

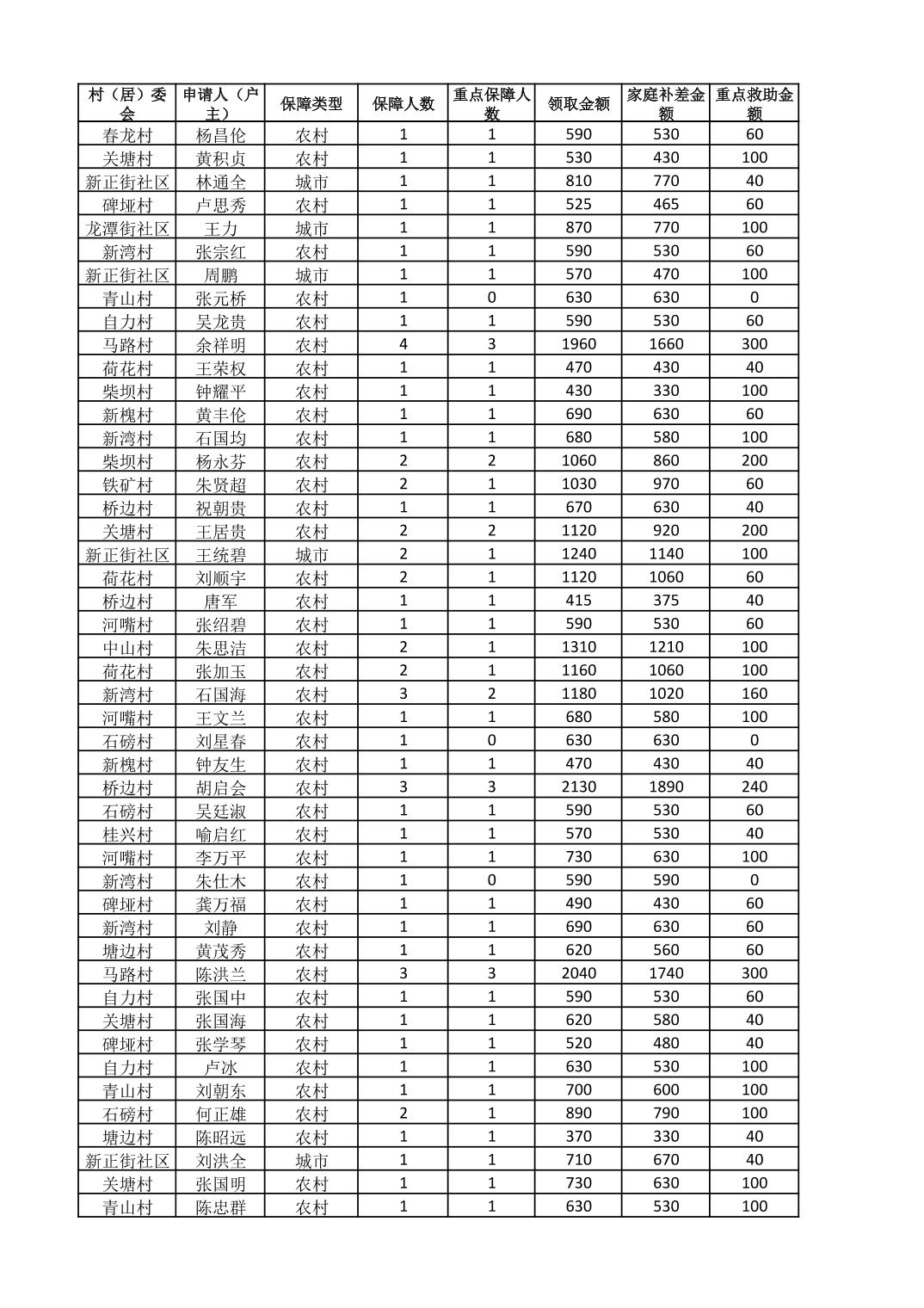
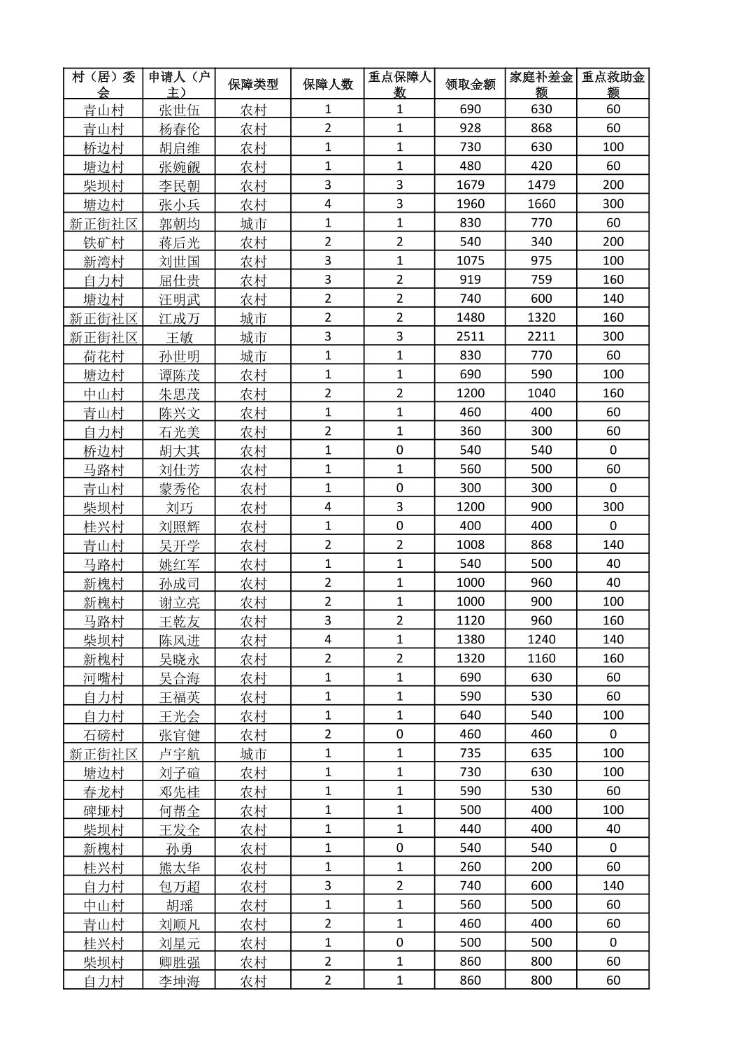
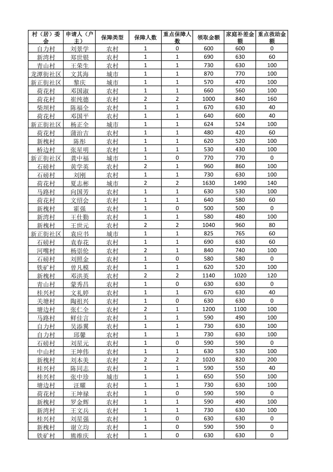
接龙镇2025年10月最低生活保障金发放表

日期:2025-10-18
【字号:


扫一扫在手机打开当前页
分享: