首页>接龙镇>政务公开>政府信息公开目录>基层政务公开>涉农补贴>信息公开

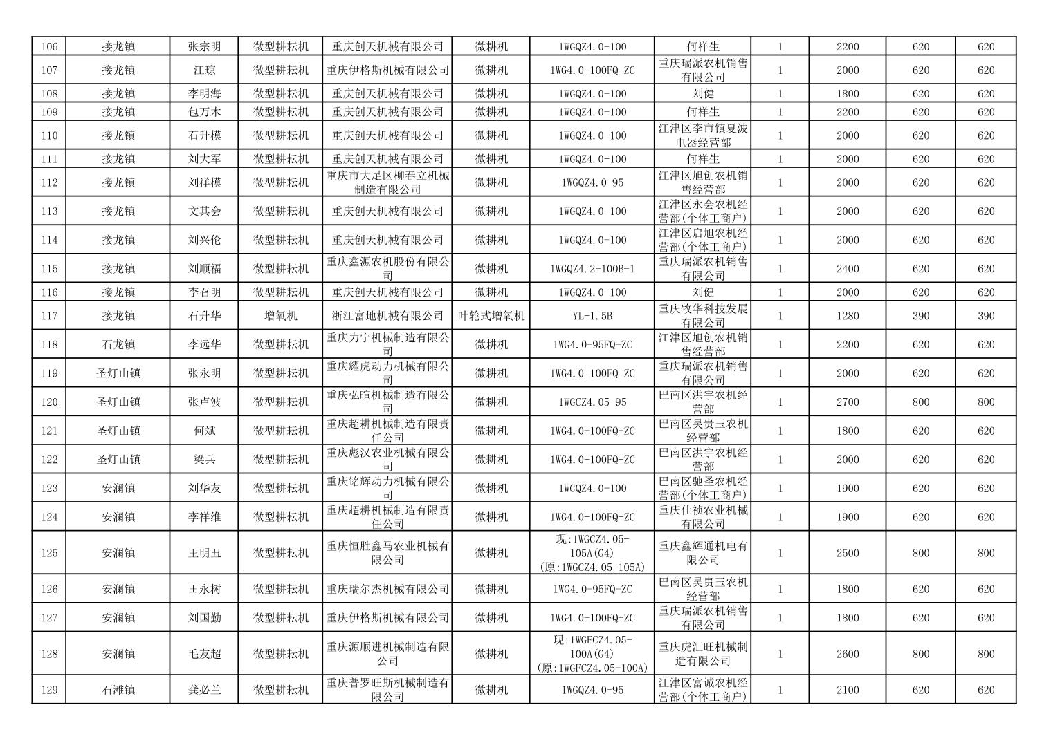
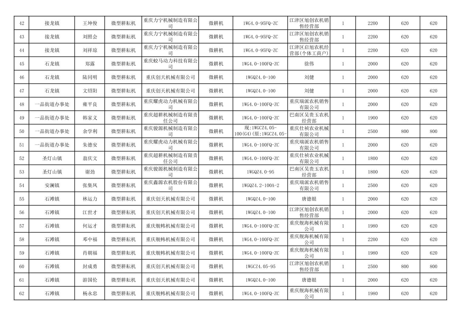
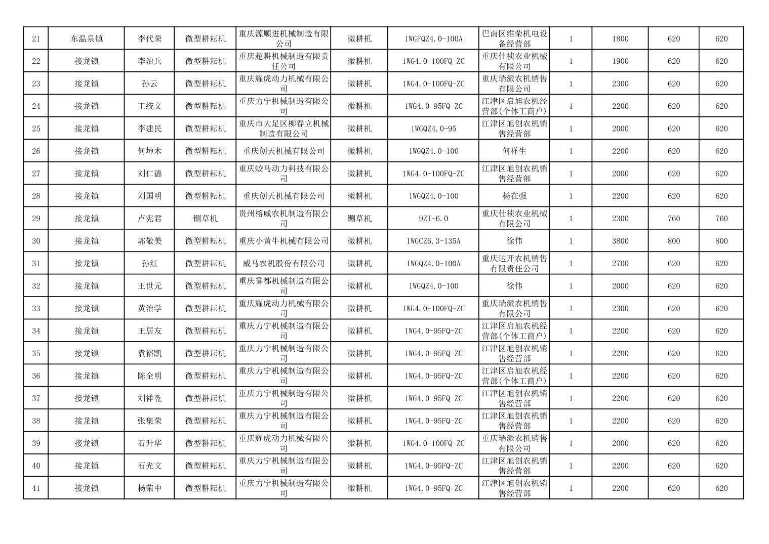
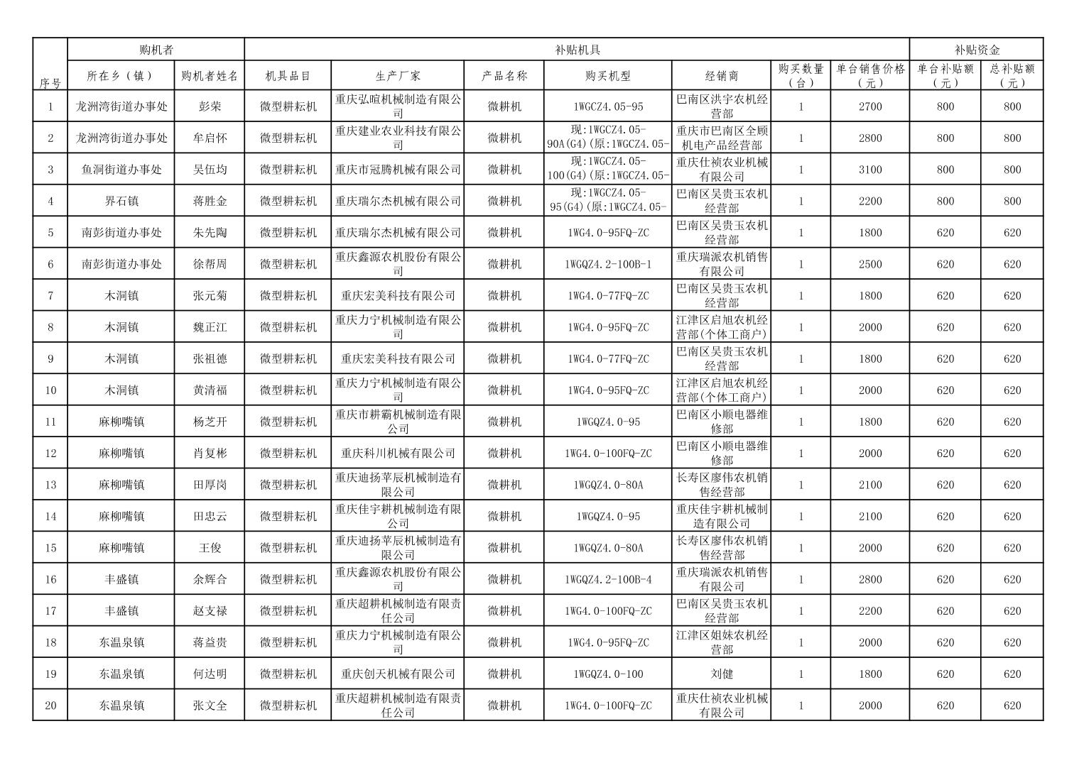
2025年13-14批巴南区享受农机购置与应用补贴的购机者信息表

日期:2025-09-10
【字号:

扫一扫在手机打开当前页
分享: